Laporan Titrasi Asam Basa Penentuan Karbonat Bikarbonat

» » Laporan Titrasi Asam Basa Penentuan Karbonat Bikarbonat

Laporan Titrasi Asam Basa Penentuan Karbonat Bikarbonat - Analisa kadar protein metode titrasi formol LAPORAN PRAKTIKUM. Pembentuk alkalinitas yang utama adalah bikarbonat karbonat dan hidroksidaDi antara ketiga ion tersebut bikarbonat paling banyak terdapat pada perairan alami Effendi 2003Natrium bikarbonat adalah alkali lemah yang mengandung ion bikarbonat suatu basa lemah Tambayong 2000Asam karbonat ini akan berdisosiasi sebagian menghasilkan ion. Penentuan kekuatan asam-basa dapat dilihat dari arga pKa atau pKb-nya.

Laporan titrasi asam basa penentuan karbonat bikarbonat. Umumnya ion-ion ini banyak ditemukan pada batu kapur atau batu tulis yang digunakan sebagai campuran bahan-bahan bangunan. Pembentuk alkalinitas yang utama adalah bikarbonat karbonat dan hidroksidaDi antara ketiga ion tersebut bikarbonat paling banyak terdapat pada perairan alami Effendi 2003Natrium bikarbonat adalah alkali lemah yang mengandung ion bikarbonat suatu basa lemah Tambayong 2000Asam karbonat ini akan berdisosiasi sebagian menghasilkan ion. Indikator titrasi asam-basa. O Scribd é o maior site social de leitura e publicação do mundo.

Titrasi Asam Basa Penentuan Karbonat Bikarbonat 3 Titrasi Asam Basa Penentuan Karbonat Bikarbonat 3 From id.scribd.com

Judul skripsi keperawatan anak Judul skripsi farmasi klinik di puskesmas Judul skripsi manajemen pemasaran 3 variabel 2018 Judul skripsi ekonomi syariah tentang pemasaran

Logam seng yang terikat 5. Saya mengakui bahwa tugas akhir ini adalah hasil kerja saya sendiri kecuali beberapa kutipan dari ringkasan yang masing- masing disebutkan sumbernya. Titrasi asam basa penentuan karbonat bikarbonat Titrasi adalah suatu metode penentuan kadar konsentrasi suatu larutan dengan larutan lain yang telah diketahui konsentrasinya. Rabu 10 April 2013 Tempat. View Penentuan Kadar Karbonat Bikarbonat dan Kalsiumdocx from KI 2121 at Bandung Institute of Technology. Penentuan Kadar Karbonat Bikarbonat Academia edu.

Sedangkan Cl ditentukan dengan menggunakan kelapa tempurung kelapa terlebih dahulu dipirolisis titrasi.

Studi Analisis Pengaruh Bahasa Kabupaten Medan. Saya mengakui bahwa tugas akhir ini adalah hasil kerja saya sendiri kecuali beberapa kutipan dari ringkasan yang masing- masing disebutkan sumbernya. Penentuan Kadar Karbonat Bikarbonat Academia edu. Klasifikasi asam-basa pada senyawa organik pada umumnya mengikuti teori asam-basa Bronsted Lowry. Penetapan titrasi asidimetri dan alkalimetri acap kali digunakan untuk menentukan titrasi asam maupun basa suatu zat pada reaksi netralisasi asam dan basa dengan menggunakan indikator yang sesuai. Secara umum asidimetri dan alkalimetri biasa diartikan sebagai titrasi yang menyangkut asam dan basa.

Laporan Praktikum Titrasi Asam Basa Source: slideshare.net

Penentuan kekuatan asam-basa dapat dilihat dari arga pKa atau pKb-nya. Logam seng yang terikat 5. BAB I PENDAHULUAN A. Titrasi asam basa adalah penentuan kadar suatu larutan basa dengan. Asidimetri merupakan analisis yang menggunakan asam sebagai larutan standar.

183694 123059 Docx Laporan Praktikum Kimia Organik Ki 2151 Percobaan 11 Pembuatan Ters Butilklorida Reaksi Substitusi Nukleolitik Alifatik Oleh Nama Course Hero Source: coursehero.com

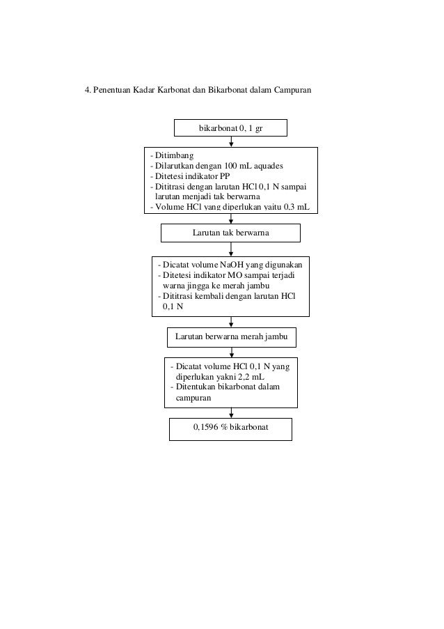
Kelarutan semua karbonat normal dengan kekecualian karbonat dari logam-logam alkali serta ammonium tidak larut dalam air hidrogen karbonat atau bikarbonat dari kalsium strontium barium magnesium dan mungkin dari besi ada dalam larutan air. Laboratorium Kimia Analis Kesehatan Poltekkes Denpasar I. Asam asetat sebagai asam penyusun dalam cuka asam karbonat yang memberikan rasa segar dalam minuman berkarbonat dan asam sitrat yang dikandung dalam berbagai jeruk. Rabu 10 April 2013 Tempat. Penentuan Kadar Karbonat dan Bikarbonat dalam campuran 22 PP 3 HlNaHClNaHCO COOC 03 ml HCl 01 N x yN01HClml22COOHNaClHClNaHCO 22 MO 3 Bikarbonat dalam sampel y-x mL HCl 01 N 22 03 x 01 19 bikarbonat 19 x o1 x 84 100 01596 D.

Penentuan Kadar Karbonat Dan Bikarbonat Source: id.scribd.com

Pembentuk alkalinitas yang utama adalah bikarbonat karbonat dan hidroksidaDi antara ketiga ion tersebut bikarbonat paling banyak terdapat pada perairan alami Effendi 2003Natrium bikarbonat adalah alkali lemah yang mengandung ion bikarbonat suatu basa lemah Tambayong 2000Asam karbonat ini akan berdisosiasi sebagian menghasilkan ion. BAB I PENDAHULUAN A. Ketepatan pemilihan indikator dilakukan agar kesalahan titrasi dapat diminimalisasi sekecil mungkin. Sedangkan Cl ditentukan dengan menggunakan kelapa tempurung kelapa terlebih dahulu dipirolisis titrasi. PADA KERTAS ROKOK DI PT.

7 Laporan Tetap Titrasi Asam Basa Karbonat Docx Source: id.scribd.com

Analisa kadar protein metode titrasi formol LAPORAN PRAKTIKUM. Penetapan titrasi asidimetri dan alkalimetri acap kali digunakan untuk menentukan titrasi asam maupun basa suatu zat pada reaksi netralisasi asam dan basa dengan menggunakan indikator yang sesuai. Ion karbonat dan bikarbonat merupakan salah satu bagian dari golongan basa. Logam seng yang terikat 5. Yang perlu diingat bahwa asam kuat akan menghasilkan basa konjugasi yang stabil begitu juga sebaliknya akan lebih kompleks.

Laporan Titrasi Asam Basa Karbonat Bikarbonat Source: id.scribd.com

BAB I PENDAHULUAN A. LAPORAN PRAKTIKUM KIMIA ANALITIK KI-2121 PERCOBAAN 4 DAN 5 PENENTUAN KADAR KARBONAT Study Resources. BAB I PENDAHULUAN A. Penentuan Kadar Karbonat Bikarbonat Academia edu. Tujuan percobaan Menentukan kadar karbonat dan bikarbonat dalam larutan secara asidimetri dengan menggunakan indikator ganda.

Wahyu Sisilia Deviana Laporan Titrasi Asam Basa Penentuan Karbonat Bikarbonat Source: wahyusisilia.blogspot.com

LATAR BELAKANG Natrium bikarbonat dengan rumus kimia NaHCO3 adalah bahan atau senyawa kimia berbentuk kristal putih yang larut dalam air dan banyak dipergunakan dalam industri makananbiskuit sebagai soda kue. Asidimetri merupakan analisis yang menggunakan asam sebagai larutan standar. Saya mengakui bahwa tugas akhir ini adalah hasil kerja saya sendiri kecuali beberapa kutipan dari ringkasan yang masing- masing disebutkan sumbernya. Secara umum asidimetri dan alkalimetri biasa diartikan sebagai titrasi yang menyangkut asam dan basa. Latar Belakang Ilmu kimia analitik adalah ilmu kimia yang mendasari pemisahanpemisahan dan analisis bahanAnalisa bertujuan untuk menentukan susunan bahan baik secara kualitatif kuantitatif maupun secara strukturSusunan kualitatif merupakan komponen-komponen bahan sedangkan susunan kuantitatif adalah berapa banyaknya atau setiap.

Titrasi Asam Basa Penentuan Karbonat Bikarbonat Source: id.scribd.com

Sedangkan Cl ditentukan dengan menggunakan kelapa tempurung kelapa terlebih dahulu dipirolisis titrasi. View Penentuan Kadar Karbonat Bikarbonat dan Kalsiumdocx from KI 2121 at Bandung Institute of Technology. TITRASI ASIDIMETRI PENENTUAN KADAR NaHCO 3 DENGAN METODE ASIDIMETRI HariTanggal Praktikum. Penentuan Kadar Karbonat Bikarbonat Academia edu. Ion karbonat dan bikarbonat merupakan salah satu bagian dari golongan basa.

Laporan Praktikum Titrasi Asam Basa Source: slideshare.net

Yang perlu diingat bahwa asam kuat akan menghasilkan basa konjugasi yang stabil begitu juga sebaliknya akan lebih kompleks. Indikator yang digunakan adalah pp dan mj Kurva titrasi Na2CO3 dengan HCl Titrasi 25 mL Na2CO3 01M dengan HCl 01M. Saya mengakui bahwa tugas akhir ini adalah hasil kerja saya sendiri kecuali beberapa kutipan dari ringkasan yang masing- masing disebutkan sumbernya. Tetapi untuk senyawa-senyawa organik. Penetapan titrasi asidimetri dan alkalimetri acap kali digunakan untuk menentukan titrasi asam maupun basa suatu zat pada reaksi netralisasi asam dan basa dengan menggunakan indikator yang sesuai.

Titrasi Asam Basa Penentuan Karbonat Bikarbonat Source: id.scribd.com

View Penentuan Kadar Karbonat Bikarbonat dan Kalsiumdocx from KI 2121 at Bandung Institute of Technology. Indikator titrasi asam-basa. Penentuan Kadar Karbonat Bikarbonat Academia edu. ANALISIS KADAR AIR TANAMAN iandrumer blogspot com. Murni Emas Berat Benda dan.

Titrasi Asam Basa Source: pdfslide.net

Secara umum asidimetri dan alkalimetri biasa diartikan sebagai titrasi yang menyangkut asam dan basa. View Penentuan Kadar Karbonat Bikarbonat dan Kalsiumdocx from KI 2121 at Bandung Institute of Technology. Logam seng yang terikat 5. Umumnya ion-ion ini banyak ditemukan pada batu kapur atau batu tulis yang digunakan sebagai campuran bahan-bahan bangunan. Saya mengakui bahwa tugas akhir ini adalah hasil kerja saya sendiri kecuali beberapa kutipan dari ringkasan yang masing- masing disebutkan sumbernya.

Titrasi Asam Basa Penentuan Karbonat Bikarbonat 3 Source: id.scribd.com

Tujuan percobaan Menentukan kadar karbonat dan bikarbonat dalam larutan secara asidimetri dengan menggunakan indikator ganda. Titrasi asam basa penentuan karbonat bikarbonat I. Ketepatan pemilihan indikator dilakukan agar kesalahan titrasi dapat diminimalisasi sekecil mungkin. Laporan praktikum titrasi asam basa 1. Dalam penentuan kadar ion karbonat dan ion bikarbonat dalam suatu cuplikan digunakan metode asidimetri.

Titrasi Asam Basa Penentuan Karbonat Bikarbonat Source: id.scribd.com

Rumus Kadar Emas Berat 1 45. Penetapan titrasi asidimetri dan alkalimetri acap kali digunakan untuk menentukan titrasi asam maupun basa suatu zat pada reaksi netralisasi asam dan basa dengan menggunakan indikator yang sesuai. Tujuan percobaan Menentukan kadar karbonat dan bikarbonat dalam larutan secara asidimetri dengan menggunakan indikator ganda. Klasifikasi asam-basa pada senyawa organik pada umumnya mengikuti teori asam-basa Bronsted Lowry. Saya mengakui bahwa tugas akhir ini adalah hasil kerja saya sendiri kecuali beberapa kutipan dari ringkasan yang masing- masing disebutkan sumbernya.

Titrasi Asam Basa Bikarbonat Indonesia Source: 123dok.com

Murni Emas Berat Benda dan. TITRASI ASIDIMETRI PENENTUAN KADAR NaHCO 3 DENGAN METODE ASIDIMETRI HariTanggal Praktikum. Rabu 10 April 2013 Tempat. Rumus Kadar Emas Berat 1 45. Laporan praktikum titrasi asam basa 1.

Laporan Praktikum Titrasi Asam Basa Source: slideshare.net

View Penentuan Kadar Karbonat Bikarbonat dan Kalsiumdocx from KI 2121 at Bandung Institute of Technology. CRC Press Florida 95117 mengandung seng Zn yang berperan dalam katalis CO2 pp. Indikator titrasi asam-basa. Asam asetat sebagai asam penyusun dalam cuka asam karbonat yang memberikan rasa segar dalam minuman berkarbonat dan asam sitrat yang dikandung dalam berbagai jeruk. Ion karbonat dan bikarbonat merupakan salah satu bagian dari golongan basa.

Laporan Praktikum Titrasi Asam Basa Source: slideshare.net

Menjadi asam karbonat HCO3. TITRASI ASIDIMETRI PENENTUAN KADAR NaHCO 3 DENGAN METODE ASIDIMETRI HariTanggal Praktikum. Titrasi asam basa adalah penentuan kadar suatu larutan basa dengan. Umumnya ion-ion ini banyak ditemukan pada batu kapur atau batu tulis yang digunakan sebagai campuran bahan-bahan bangunan. Penentuan Kadar Karbonat Bikarbonat Academia edu.

Laporan Titrasi Asam Basa Karbonat Bikarbonat Source: id.scribd.com

Logam seng yang terikat 5. Titrasi yang melibatkan asam dam basa digunakan secara luas dalam pengendalian. PERBANDINGAN METODE PENENTUAN KALSIUM KARBONAT CaCO3 DENGAN MENGGUNAKAN TITRASI ASAM BASA DAN PEMBAKARAN. Laporan praktikum titrasi asam basa 1. BAB I PENDAHULUAN A.

Titrasi Asam Basa Bikarbonat Indonesia Source: 123dok.com

Indikator titrasi asam-basa. TITRASI ASIDIMETRI PENENTUAN KADAR NaHCO 3 DENGAN METODE ASIDIMETRI HariTanggal Praktikum. LATAR BELAKANG Natrium bikarbonat dengan rumus kimia NaHCO3 adalah bahan atau senyawa kimia berbentuk kristal putih yang larut dalam air dan banyak dipergunakan dalam industri makananbiskuit sebagai soda kue. Penentuan kekuatan asam-basa dapat dilihat dari arga pKa atau pKb-nya. Titrasi 20 mL H2A 01M dengan NaOH 01M K1 100x10-3 dan K210x10-7 Titrasi natrium karbonat Na2CO3 merupakan basa berasam dua sehingga ionisasinya.

Laporan Praktikum Titrasi Asam Basa Source: slideshare.net

TUJUAN PERCOBAAN Mahasiswa mampu melakukan penentuan karbonat bikarbonat dalam cuplikan dengan cara titrasi menggunakan dua indicator. Ketepatan pemilihan indikator dilakukan agar kesalahan titrasi dapat diminimalisasi sekecil mungkin. LAPORAN PRAKTIKUM KIMIA ANALITIK KI-2121 PERCOBAAN 4 DAN 5 PENENTUAN KADAR KARBONAT Study Resources. View Penentuan Kadar Karbonat Bikarbonat dan Kalsiumdocx from KI 2121 at Bandung Institute of Technology. Ion karbonat dan bikarbonat merupakan salah satu bagian dari golongan basa.

This site is an open community for users to do submittion their favorite wallpapers on the internet, all images or pictures in this website are for personal wallpaper use only, it is stricly prohibited to use this wallpaper for commercial purposes, if you are the author and find this image is shared without your permission, please kindly raise a DMCA report to Us.

If you find this site value, please support us by sharing this posts to your own social media accounts like Facebook, Instagram and so on or you can also save this blog page with the title laporan titrasi asam basa penentuan karbonat bikarbonat by using Ctrl + D for devices a laptop with a Windows operating system or Command + D for laptops with an Apple operating system. If you use a smartphone, you can also use the drawer menu of the browser you are using. Whether it’s a Windows, Mac, iOS or Android operating system, you will still be able to bookmark this website.